Seu parceiro para astronomia
Montagens & acessórios > Montagens > Suportes para câmaras > AstroTrac > AstroTrac TT320X-AG conjunto de montagem I
Nr. do produto: 18839

TT320X-AG conjunto de montagem I

RRP: $ 870,00 Nosso preço:
$ 780,00 incl. VAT mais custo de remessa
muito caro?
longo prazo
Produto não está mais disponivel + Tempo de Transportes

Descrição do produto

Este conjunto de montagem foi concebido por nós para você. Ele é composto pelos seguintes artigos:

Montagem AstroTrac TT320X-AG

Você é um astrofotógrafo dedicado ? Então imagine o seguinte "cenário de terror":

Você chegou ao seu destino de férias, o céu limpou-se no crepúsculo, e aa Via Láctea está no zênite sobre você. E você teve que deixar sua montagem para trás por causa do peso da bagagem.

Esta situação horrível não precisa mais se repetir, porque agora existe a montagem AstroTrac - a montagem para viagens leve e pouco exigente de espaço. O AstroTrac não é necessariamente uma montagem para viagens no sentido tradicional. Podemos chama-la de montagem de braço tangencial com um movimento ao longo de segmento.

As vantagens de AstroTrac em resumo:
O AstroTrac é uma nova montagem para viagem com rastreamento muito preciso por um período de até 2 horas, universalmente aplicável para astrofotografia e observação visual com refratores de distância focal curta. Com um peso de apenas 1,1 kg e medindo apenas 425x95x43 mm, ao estar dobrado, é extremamente portátil e pode ser utilizado em todo o mundo. AstroTrac significa preparo mais fácil e mais rápido. Acoplar sobre um tripé, centrar a estrela Polar na buscadora de polo, alinhar a câmera ou telescópio e pressionar o botão "Track" - pronto.Qualidade entre as melhores, graças à alta tecnologia de processamento e de materiais. O eixo de acionamento e o motor são feitos especialmente para o AstroTrac e garantem a precisão da unidade em apenas alguns segundos de arco.

O AstroTrac em detalhes:
Em princípio, o AstroTrac se consiste de dois braços, um dos quais está montado de modo fixo e outro que é movido por meio de um eixo em relação ao braço fixo. Na parte superior do braço móvel, a câmara, telescópio, etc são montados. O movimento para a unidade do eixo e, portanto, para compensar a rotação da Terra, assume um motor pequeno de passo que consome pouca energia e que aciona diretamente o eixo rígido. Assim, o erro adicional de engrenagens de redução intermediárias é evitado. O eixo de acionamento do motor e são fabricados juntos para garantir um erro o menor possível na periodicidade da unidade. O tamanho do passo do eixo de acionamento é de 0,3 segundos de arco. O erro periódico é de alguns segundos de arco ao longo de um período de algunss minutos - ideais para tempos de exposição curtos, com digital ou câmera SLR com película. O eixo rígido está envolto por policarbonato muito rígido (muito menos frágil do que o plastico acrílico) e a resolução é correspondente a de uma roda helicoidal convencional com diâmetro de 60 cm! O interior do vidro acrílico é iluminado por LEDs vermelhos durante a operação, de modo que, no escuro é sempre visível, por quanto tempo a AstroTrac ainda pode se movimentar antes do ponto final da articulação ser atingido. Como rolamentos do eixo são usados rolos cônicos de grande precisão. A maioria dos componentes do AstroTrac são feitos de um alumínio especial usado também na produção de aeronaves fabricados em máquinas CNC de alta precisão. Este material é extremamente rígido, de baixa vibração e, assim, rígido e muito leve. Todos os parafusos de conexão são feitos de aço inoxidável V2A. O AstroTrac é fixado à cabeça inclinável de um tripé fotográfico. Esta cabeça deve estar alinhada durante a operação na inclinação e azimute para o polo celeste. A conexão ao tripé é do padrão de 3/8" e a câmera com a rosca fotográfica de de 1/4". Quanto mais estável o tripé e a cabeça de inclinação, mais alta pode ser o peso do instrumento - até o máximo de 15 kg!
Com seu desenho genial, o AstroTrac é igualmente utilizável tanto no hemisfério norte como no hemisfério sul da Terra. O AstroTrac é aberto em 180 graus para além da sua posição básica - para o hemisfério norte e hemisfério sul, no sentido anti-horário para o uso ao norte do equador, e no sentido horário ao sul. Neste caso, nada deve ser mudado ou alterado no sentido de rotação do motor AstroTrac está plenamente preparado para receber acoplada uma luneta buscadora de polo. No entanto, esta não está incluída no pacote. Um novo recurso acompanha cada AstroTrac fornecido.Trata-se de um suporte magnético para acoplar uma buscadora polar. A luneta buscadora do polo AstroTrac é montada em segundos e é mantida exatamente paralela ao eixo por três ímans fortes de neodímio - sem parafusos de aperto. Além disso ela fixada livre para girar devido ao suporte magnético.
O controle completo da montagem AstroTrac é efetuada sobre quatro botões na parte inferior do braço móvel. Ambas as chaves e a parte clara do braço são indiretamente iluminadas pela cor do LED. Os botões controlam o início e função de parada do AstroTrac, além disso, você pode ajustar o brilho dos LEDs e do volume de sinais acústicos em cada 5 níveis. A fonte de alimentação de AstroTrac é de 12 volts DC. A entrada é conexão de padrão normal de tomada e pode ser conectada a qualquer fonte de alimentação. A unidade completa é projetada para um consumo de energia muito baixo ( cerca de 250 mA com 12 ).

A nova versão TT320X-AG da firma AstroTrac se destaca do modelo anterior TT320 pelas seguintes inovações e melhorias técnicas:

  • Adicionalmente tem velocidade de rastreamento para o Sol e a Lua, em vez de somente para estrelas. O rastreamento pode agora ser ajustado para rstreio solar ou lunar, bastando simplesmente pressionar um botão. Isso abre duas áreas de aplicação completamente novas, por exemplo, para observação visual e fotográfica com refratores de distância focal curta (por exemplo um luar pálido, uma Lua crescente ainda estreita, manchas no Sol).
  • Conexão ao autoguider! - Controle a sua montagem AstroTrac a partir de agora com um autoguider. Mesmo com distâncias focais longas e exposições longas é possível fazer fotos rastreadas com precisão. O conector compatível com ST-4 encaixa se à maioria dos autoguiders como por exemplo a câmera CCD Mammut Lyuba (21.883) ou o Orion StarShoot autoguider (14.248).
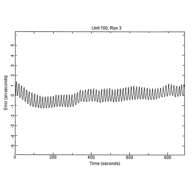
  • Um sistema de transmissão totalmente redesenhado com maior precisão de rastreamento (mesmo sem autoguiding) AstroTrac agora garante uma precisão de 5 segundos de arco (pico a pico) durante um período de 5 minutos. Isso também permite o uso de fotografia de longas distâncias focais para a fotografia do céu profundo.
  • Ultra-portátil: O AstroTrac pesa apenas 1 kg! Não é mais pesado do que uma caixa de leite mas é igualmente fácil de transportar. Em comparação com as versões anteriores, um peso significativo foi eliminado fazendo uso de estrutura como esqueleto.
  • Aumento significativo na carga útil do instrumento. A capacidade de carga do TT320 era de 10 kg, o novo TT320X-AG pode agora suportar uma carga total de 15 kg (máximo com estrutura curta).
  • Braço de buscadora do polo alongado para simplificar consideravelmente o ajuste do polo.

Buscador de polo AstroTrac

Este buscador de polo iluminado dispõe de uma placa com linhas e apropriado para os hemisférios sul e norte..

Especificações

Capacidade


Designação
TT320X-AG
Capacidade de carga máxima (kg)
15
Ajuste da altura do polo (°)
- (dependente da cabeça do tripé)
Velocidades do motor
-
Precisão de rastreamento
5
Montagem de eixo
rolamentos de rolos cônicos
Contrapeso
- (Opcional)
Interfaces
Autoguider, jack (fonte de alimentação externa)
Condução de cabos
-
Temperatura de funcionamento
-
Suprimento de energia
12
Consumo de energia em ponto morto (mA)
-
Precisão da posição
-
Roda dentada de engrenagem sem fim (RA)
-
Diâmetro da barra do contrapeso (mm)
-
Caixa de controle manual de conexão
-

Especialidades


Escala do eixo polar
-
Círculos parciais
-
Conexão do trilho em prisma
-
Rastreamento manual
-
Bandeja de acessórios
-

Equipamento


Tripé
sem tripé

Tripé


Coluna base
-
Altura máxima do tripé (cm)
-
Peso do tripé (kg)
-
Material do tripé
- (Tripé opcional)

Geral


Cor
prata
Comprimento (mm)
425
Largura (mm)
95
Altura (mm)
43
Peso total (kg)
1,1

Segurança dos produtos

Fabricante:
AstroTrac TT320X-AG conjunto de montagem I

Closeup da nebulosa Roseta feita com TT320X-AG, Canon 7D e lente EF 400 mm f5.6. Empilhamento de exposições de 5 minutos. (c) Gain Lee, Huddersfield, Grã Bretanha.

AstroTrac TT320X-AG conjunto de montagem I
Closeup das Nebulae Horsehead & Flame, capturada com TT320X-AG, câmara CCD QSI 583WSG e refractor Takahashi FS-78 em f8.1. Pilha de exposições LRGB de 5 minutos. (c) Richard Taylor & Gain Lee.

Revisão de clientes

Ainda não há revisões de cliente para este produto.

Componha a própria revisão:

Tem perguntas específicas sobre a sua encomenda ou produtos? Por favor contacte o nosso serviço ao cliente!